Équipements et consommables de laboratoire

TRB-STÉROL

Colonne spécialement conçue pour l’analyse de mélanges complexes de stérols, d’origine animale ou végétale.

  • La couche de désactivation développée par Teknokroma garantit une inertie chimique élevée et un faible saignement.
  • Permet l’analyse des stérols sans dérivatisation.
  • Colonne testée spécifiquement pour les stérols.

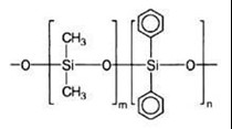
Structure TRB Sterol

95 % diméthyl-5 % diphényl polysiloxane, phase liée et réticulée.

NOURRITURE


Stérol

Phases équivalentes au TRB-STÉROL : Supelco : SAC-5


    Demander un devis
    Remplissez le formulaire et nous vous contacterons dans les plus brefs délais.